首页/教学单位/酿酒工程学院/教学科研/科研成果

taptap点点体育在FCX发表研究成果:机器学习结合GC-FID判别不同类别酱香型白酒
2025-09-11 16:21   字号:[ ]  [关闭] 视力保护色:

taptap点点体育在FCX发表研究成果:机器学习结合GC-FID判别不同类别酱香型白酒

 

导读

茅台学院于2025年5月在国际期刊Food Chemistry: X(Q1,Top,IF: 8.2)发表题为“Machine learning combined with GC-FID for discrimination of different categories of maotai-flavor baijiu”的研究性论文。研究获国家自然科学基金(32460269)、贵州省基础研究计划重点项目(黔科合基础ZD[2025]018)等项目资助。

taptap点点体育张春林副校长及贵州省酒类产品质量检验检测院陈仁远为此文章通讯作者,taptap点点体育杨亮副教授为第一作者。夜郎古酒业有限公司等酒业人员参与本项目研究。

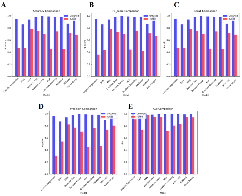
酱香型白酒在酿制过程中,会因轮次、典型体等级等差别,形成多种类型的基酒。正因多特性基酒的存在,为酱香型白酒口感及香气丰富度的形成提供了必要的基础。然后现阶段对这些基酒的判别,仍以人工为主,给勾调效率的提升及品质得稳定造成了一定阻碍。基于此,本研究采用10种机器学习模型,分别对基于GC-FID检测的410个基酒中的挥发性物质进行分析,Decision Tree、XGBoost和Random Forest依次是预测轮次、典型体等级的最佳模型,准确率在62.3%-92.9%之间。基于最佳模型的SHAP分析发现,酯类是判别轮次的主要标志物,酯类结合三甲基丁醇可用于不同等级醇甜基酒的判别,而判别不同典型体需要的物质类别种类较多,包括丁酸、四甲基吡嗪、2-丁醇等。进一步结合基酒的9个感官维度与物质的风味特性之间的关系可以发现,用于不同类型基酒判定的标志物,不仅与其含量有关,物质的风味特性同样是决定其成为标志物的关键因素。

 

 

 

 图文赏析

 

Figure S1 Sample classification

 

 

图1 机器学习模型构建流程示意图

 

 

图2 样本内物质的分布。

 

 

 

图3 机器学习模型评价指标柱状图,(A)Accuracy;(B)F1_Score;(C)Recall;(D)Precision; (E)Auc,红色代表调参优化后模型,蓝色代表未经过调参优化的模型

 

 

 

图4 基酒轮次判别

 

 

 

图5 典型体判别

 

 

图6 醇甜等级判别。

 

 

图7 酱香型白酒1-7轮次基酒感官与风味之间联系。

 

原文链接https://doi.org/10.1016/j.fochx.2025.102555 

 

 

 

 

第一作者简介:

杨亮,博士,副教授,贵州省“千”层次人才,硕士研究生导师,一级品酒师,taptap点点体育酿酒工程学院白酒酿造系主任。长期从事酿造微生物及白酒风味相关研究。主持国家自然科学基金(2项)、贵州省科技厅基础研究重点项目&一般项目、贵州省教育厅科技拔尖人才、江苏省(博士)研究生科研创新计划等基金项目13项,以第一作者在Compr. Rev. Food Sci. SafeFood Chem., Food MicrobiolFood Res. Int.Food Biosci.、LWT-Food Sci. Technol.等SCI及核心期刊发表论文20篇,申请发明专利3项,授权发明专利1项。研究成果以第一完成人荣获中国贵州茅台酒厂(集团)有限责任公司科技创新成果奖二等奖、三等奖各一次,荣获茅台集团金牌员工、taptap点点体育科研先进个人。

 

通讯作者简介

 

陈仁远,贵州省酒类产品质量检验检测院技术负责人,正高级工程师。2024年贵州省教育厅批准担任贵州大学研究生产业导师、taptap点点体育产业导师。中国酱香酿酒大师,一级品酒师,贵州省白酒评委,贵州省食品安全地方标准评审委员会委员;全国白酒标准化委员会酱香型分委员会委员,国家注册高级标准化工程师,国家食品白酒注册审查员,遵义市仁怀市酒业专家委员会委员。

 

张春林,博士,教授,taptap点点体育副校长。主持贵州省重点支持学科“轻工技术与工程”建设、贵州省本科教学内容和课程体系改革课题、贵州省高校拔尖人才等项目;贵州省千层次人才,江苏省“333”高层次人才。发表论文20多篇,申请授权发明专利10多项。